Train a logistic regression classifier for each class to predict the probability .
To make a prediction on a new , pick the class that maximizes
Overfitting
An instance of overfitting: a hypothesis having high variance and being unlikely to generalize well to new examples.
Reduce the number of features:
Manually select which features to keep.
Use a model selection algorithm (studied later in the course).
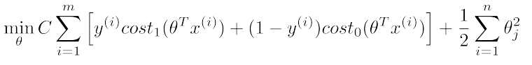
Regularization
Keep all the features, but reduce the magnitude of parameters .
Regularization works well when we have a lot of slightly useful features.
Regularization
Linear Regression
Cost Function
The , or lambda, is the regularization parameter
Gradient Descent
with some manipulation:
Normal Equation
PS: I don't know how to calculate it yet! A pity!
Logistic Regression
Cost Function
Gradient Descent
same as linear regression in form but different
4. Neural Networks
Model Representation
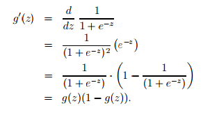
In neural networks, we use the same logistic function as in classification, , yet we sometimes call it a sigmoid (logistic) activation function. In this situation, our "theta" parameters are sometimes called "weights".
Visually, a simplistic representation looks like:
If network has units in layer and units in layer , then will be of dimension .
Setting , we can get the equation:
Cost Function
= total number of layers in the network
= number of units (not counting bias unit) in layer
= number of output units/classes
Backpropagation Algorithm
Given training set
Set for all
For training example :
Set
Perform forward propagation to compute for
Using , compute
Compute using
or with vectorization,
Hence we update our new Δ matrix.
Thus we get
Backpropagation in Practice
Unrolling Parameters
% unroll
thetaVector =[Theta1(:);Theta2(:);Theta3(:);]
deltaVector =[ D1(:); D2(:); D3(:)]
% back
Theta1= reshape(thetaVector(1:110),10,11)
Theta2= reshape(thetaVector(111:220),10,11)
Theta3= reshape(thetaVector(221:231),1,11)
Gradient Checking make sure of only checking once
The approximate value of gradient:
Once we have done some trouble shooting for errors in our predictions by:
Getting more training examples
Trying smaller sets of features
Trying additional features
Trying polynomial features
Increasing or decreasing
The test set error
For linear regression:
For classification ~ Misclassification error (aka 0/1 misclassification error):
The average test error for the test set is:
Model Selection and Train/Validation/Test Sets
One way to break down our dataset into the three sets is:
Training set: 60%
Cross validation set: 20%
Test set: 20%
We can now calculate three separate error values for the three different sets using the following method:
Optimize the parameters in using the training set for each polynomial degree.
Find the polynomial degree d with the least error using the cross validation set.
Estimate the generalization error using the test set with , ( from polynomial with lower error);
This way, the degree of the polynomial d has not been trained using the test set.
Bias vs. Variance
Diagnosing Bias vs. Variance
High bias (underfitting): both and will be high. Also, .
High variance (overfitting): will be low and will be much greater than .
Regularization and Bias/Variance
Create a list of s (i.e. ,0.01,0.02,0.04,0.08,0.16,0.32,0.64,1.28,2.56,5.12,10.24);
Create a set of models with different degrees or any other variants.
Iterate through the s and for each go through all the models to learn some .
Compute the cross validation error using the learned (computed with λ) on the without regularization or .
Select the best combo and that produces the lowest error on the cross validation set.
Using the best combo, apply it on to see if it has a good generalization of the problem.
Learning Curves
Deciding What to Do Next Revisited
Getting more training examples: Fixes high variance
Trying smaller sets of features: Fixes high variance
Adding features: Fixes high bias
Adding polynomial features: Fixes high bias
Decreasing λ: Fixes high bias
Increasing λ: Fixes high variance.
System Design
Prioritizing What to Work On
Collect lots of data (for example "honeypot" project but doesn't always work)
Develop sophisticated features (for example: using email header data in spam emails)
Develop algorithms to process your input in different ways (recognizing misspellings in spam).
It is difficult to tell which of the options will be most helpful.
Error Analysis
Start with a simple algorithm, implement it quickly, and test it early on your cross validation data.
Plot learning curves to decide if more data, more features, etc. are likely to help.
Manually examine the errors on examples in the cross validation set and try to spot a trend where most of the errors were made.
Handling Skewed Class
Error Metrics
\
Actual Class: 1
Actual Class: 0
Predicted Class: 1
True Positive
False Positive
Predicted Class: 0
False Negative
True Negative
Trade Off of Precision and Recall
Score
Using Large Data Sets
Rationale: Useful test: Given the input , can a human expert confidently predict ?
Use a learning algorithm with many parameters
Use a very large training set (unlikely to overfit)
6. Support Vector Machines
Large Margin Classification
SVM Hypothesis
Large Margin Intuition
SVM Decision Boundary
can be small, then is going to be large, that is large margin.
Kernels
Kernels ans Similarity
we define the similarity between and landmark as:
,
,
SVM Parameters
SVMs in Practice
7. Clustering
K-Means Algorithm
K-Means Optimization Objective
Random Initialization
Should have
Randomly pick training examples.
Set equal to these examples.
Random initialization some times to pick the lowest cost one.
Principle Component Analysis
PCA is unsupervised learning, while LR is supervised learning
PCA Algorithm
Reconstruction from Compressed Representation
Dimensionality Reduc1on
Choosing the Number of Principal Components
Application of PCA
Bad use of PCA: To prevent overfitting
This might work OK, but isn’t a good way to address overfitting.
Use regularization instead. PCA lost the information of
8. Anomaly Detection
Anomaly Detection Algorithm
Evaluation
can use the same metrics or method as the algorithm before
Anomaly Detection vs. Supervised Learning
Anomaly Detectioon with the Multivariate Gaussian
Relation to Original Model
Diagnal Covariance Matrix
Axis-aligned Figure
Original Model vs. Multivariate Gaussian
Recommender Systems
Content-based Recommender Systems
Collaborative Filtering
Collaborative Filtering Algorithm
mean normalization, to make the undefined value be predicted meaningfully
9. Large Scale Machine Learning
Gradient Descent with Large Datasets
Batch Gradient Descent
Stochastic Gradient Descent
Learning Rate It is not recommended, cuz adjusting 2 constants is a headache!
Mini-Batch Gradient Descent
Comparison
Checking forConvergence
Online Learning
Its datasets is a continuous stream
So get a example, update(gradient descent) once
Can adopt to changing users' preference
Map Reduce and Data Parallelism
Map-reduce and summation over the training set
multiple machines:
multiple cores:
10. Application Example: Photo OCR
Photo OCR Pipeline
Sliding Windows
Getting Lots of Data and Artifical Data
Synthesizing data by introducing distortions
Discussion on Getting More Data
Make sure you have a low bias classifier before expending the
effort.
How much work would it be to get 10x as much data as we currently have?
Ceiling Analysis: What Part of the Pipeline to Work on Next